

Simple Linear Regression I
Grayson White
Math 141
Week 4 | Fall 2025
Descriptive: Want to estimate quantities related to the population.
→ How many trees are in Alaska?
Predictive: Want to predict the value of a variable.
→ Can I use remotely sensed data to predict forest types in Alaska?
Causal: Want to determine if changes in a variable cause changes in another variable.
→ Are insects causing the increased mortality rates for pinyon-juniper woodlands?
We will focus mainly on descriptive modeling in this course. If you want to learn more about predictive modeling, take Math 243: Statistical Learning, and if you want to learn more about causality, take Math 394: Causal Inference.
\[ y = f(x) + \epsilon \]
Goal:
Determine a reasonable form for \(f()\). (Ex: Line, curve, …)
Estimate \(f()\) with \(\hat{f}()\) using the data.
Generate predicted values: \(\hat y = \hat{f}(x)\).
Consider this model when:
Response variable \((y)\): quantitative
Explanatory variable \((x)\): quantitative
AND, \(f()\) can be approximated by a line.
“The social contract of Halloween is simple: Provide adequate treats to costumed masses, or be prepared for late-night tricks from those dissatisfied with your offer. To help you avoid that type of vengeance, and to help you make good decisions at the supermarket this weekend, we wanted to figure out what Halloween candy people most prefer. So we devised an experiment: Pit dozens of fun-sized candy varietals against one another, and let the wisdom of the crowd decide which one was best.” – Walt Hickey
“While we don’t know who exactly voted, we do know this: 8,371 different IP addresses voted on about 269,000 randomly generated matchups. So, not a scientific survey or anything, but a good sample of what candy people like.”

candy <- read_csv("https://raw.githubusercontent.com/fivethirtyeight/data/master/candy-power-ranking/candy-data.csv") %>%
mutate(pricepercent = pricepercent*100)
glimpse(candy)Rows: 85
Columns: 13
$ competitorname <chr> "100 Grand", "3 Musketeers", "One dime", "One quarter…
$ chocolate <dbl> 1, 1, 0, 0, 0, 1, 1, 0, 0, 0, 1, 0, 0, 0, 0, 0, 0, 0,…
$ fruity <dbl> 0, 0, 0, 0, 1, 0, 0, 0, 0, 1, 0, 1, 1, 1, 1, 1, 1, 1,…
$ caramel <dbl> 1, 0, 0, 0, 0, 0, 1, 0, 0, 1, 0, 0, 0, 0, 0, 0, 0, 0,…
$ peanutyalmondy <dbl> 0, 0, 0, 0, 0, 1, 1, 1, 0, 0, 0, 0, 0, 0, 0, 0, 0, 0,…
$ nougat <dbl> 0, 1, 0, 0, 0, 0, 1, 0, 0, 0, 1, 0, 0, 0, 0, 0, 0, 0,…
$ crispedricewafer <dbl> 1, 0, 0, 0, 0, 0, 0, 0, 0, 0, 0, 0, 0, 0, 0, 0, 0, 0,…
$ hard <dbl> 0, 0, 0, 0, 0, 0, 0, 0, 0, 0, 0, 0, 0, 0, 1, 0, 1, 1,…
$ bar <dbl> 1, 1, 0, 0, 0, 1, 1, 0, 0, 0, 1, 0, 0, 0, 0, 0, 0, 0,…
$ pluribus <dbl> 0, 0, 0, 0, 0, 0, 0, 1, 1, 0, 0, 1, 1, 1, 0, 1, 0, 1,…
$ sugarpercent <dbl> 0.732, 0.604, 0.011, 0.011, 0.906, 0.465, 0.604, 0.31…
$ pricepercent <dbl> 86.0, 51.1, 11.6, 51.1, 51.1, 76.7, 76.7, 51.1, 32.5,…
$ winpercent <dbl> 66.97173, 67.60294, 32.26109, 46.11650, 52.34146, 50.…
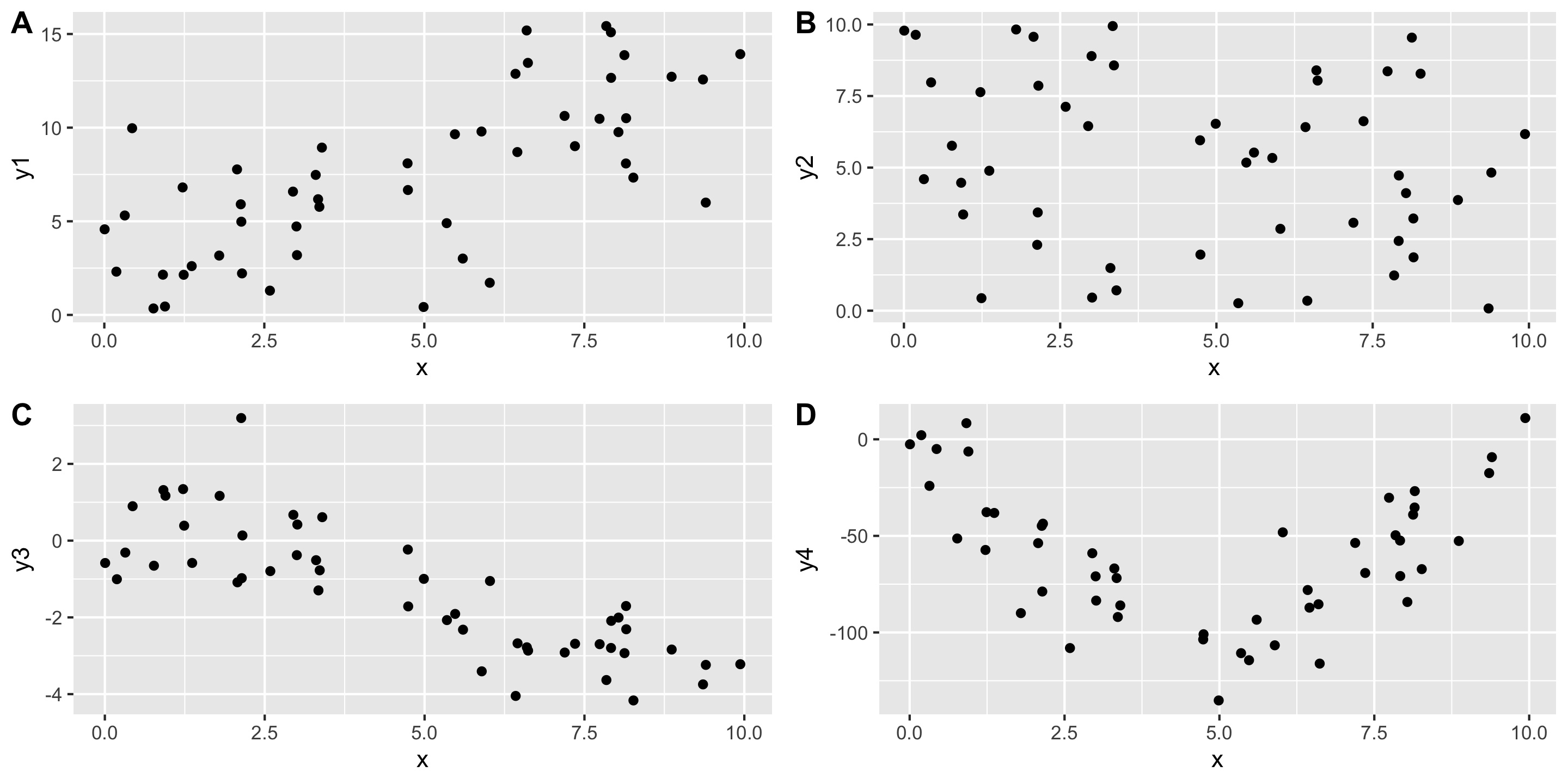
Linear trend?
Direction of trend?

A simple linear regression model would be suitable for these data.
But first, let’s describe more plots!


Measures the strength and direction of linear relationship between two quantitative variables
Symbol: \(r\)
Always between -1 and 1
Sign indicates the direction of the relationship
Magnitude indicates the strength of the linear relationship
\(r\) is calculated using the sample means (\(\bar{x}\), \(\bar{y}\)) and standard deviations (\(s_x\), \(s_y\)) of the variables \(x\) and \(y\):
\[r = \frac{1}{s_x s_y} \cdot \frac{1}{n-1} \sum_{i =1}^n (x_i - \bar{x} ) (y_i - \bar{y} ) \]
Sample Correlation Coefficient: \[ r = \frac{1}{s_x s_y} \cdot \frac{1}{n-1} \sum_{i =1}^n (x_i - \bar{x} ) (y_i - \bar{y} ) \]
Sample Covariance:
\[ cov(x, y) = r \times s_x s_y = \frac{1}{n-1} \sum_{i =1}^n (x_i - \bar{x} ) (y_i - \bar{y} ) \]
The sample correlation coefficient is a standardized sample covariance, which is what causes it to only take values from -1 to 1. The sample covariance can take any real value.
# A tibble: 12 × 2
dataset cor
<chr> <dbl>
1 away -0.0641
2 bullseye -0.0686
3 circle -0.0683
4 dino -0.0645
5 dots -0.0603
6 h_lines -0.0617
7 high_lines -0.0685
8 slant_down -0.0690
9 star -0.0630
10 v_lines -0.0694
11 wide_lines -0.0666
12 x_shape -0.0656

Let’s return to the Candy Example.
A line is a reasonable model form.
Where should the line be?

\[ \begin{align} y &= f(x) + \epsilon \\ y &= \beta_o + \beta_1 x + \epsilon \end{align} \]
\[ y = \beta_o + \beta_1 x + \epsilon \]
\[ \hat{y} = \hat{ \beta}_o + \hat{\beta}_1 x \]
Need two key definitions:
\[ \hat{y}_i = \hat{\beta}_o + \hat{\beta}_1 x_i \]
\[ e_i = y_i - \hat{y}_i \]
Goal: Pick values for \(\hat{\beta}_o\) and \(\hat{\beta}_1\) so that the residuals are small!
Want residuals to be small.
Minimize a function of the residuals.
Minimize:
\[ \sum_{i = 1}^n e^2_i \]

After minimizing the sum of squared residuals, you get the following equations:
Get the following equations:
\[ \begin{align} \hat{\beta}_1 &= \frac{ \sum_{i = 1}^n (x_i - \bar{x}) (y_i - \bar{y})}{ \sum_{i = 1}^n (x_i - \bar{x})^2} \\ \hat{\beta}_o &= \bar{y} - \hat{\beta}_1 \bar{x} \end{align} \] where
\[ \begin{align} \bar{y} = \frac{1}{n} \sum_{i = 1}^n y_i \quad \mbox{and} \quad \bar{x} = \frac{1}{n} \sum_{i = 1}^n x_i \end{align} \]
Then we can estimate the whole function with:
\[ \hat{y} = \hat{\beta}_o + \hat{\beta}_1 x \]
Called the least squares line or the line of best fit.
ggplot2 will compute the line and add it to your plot using geom_smooth(method = "lm")

But what are the exact values of \(\hat{\beta}_o\) and \(\hat{\beta}_1\)?
R to compute the least squares line and exact values of \(\hat{\beta}_o\) and \(\hat{\beta}_1\).